NOT LISTED FOR SALE

0 Lake Bluff Rd Unit RTC2976513 Baxter, TN 38544

4.41 Acres
-- Price per Acre
192,100 Sq Ft Lot

Sale Details

Date Sold: September 29, 2025

Last sale price $35,000

19 Days on Market

Highlights

  • No HOA
  • Lot Has A Rolling Slope
  • No Heating

About This Lot

As of September 2025

4.41 Acres with Utilities & 4-Bedroom Build Site Approval – Near the Lake

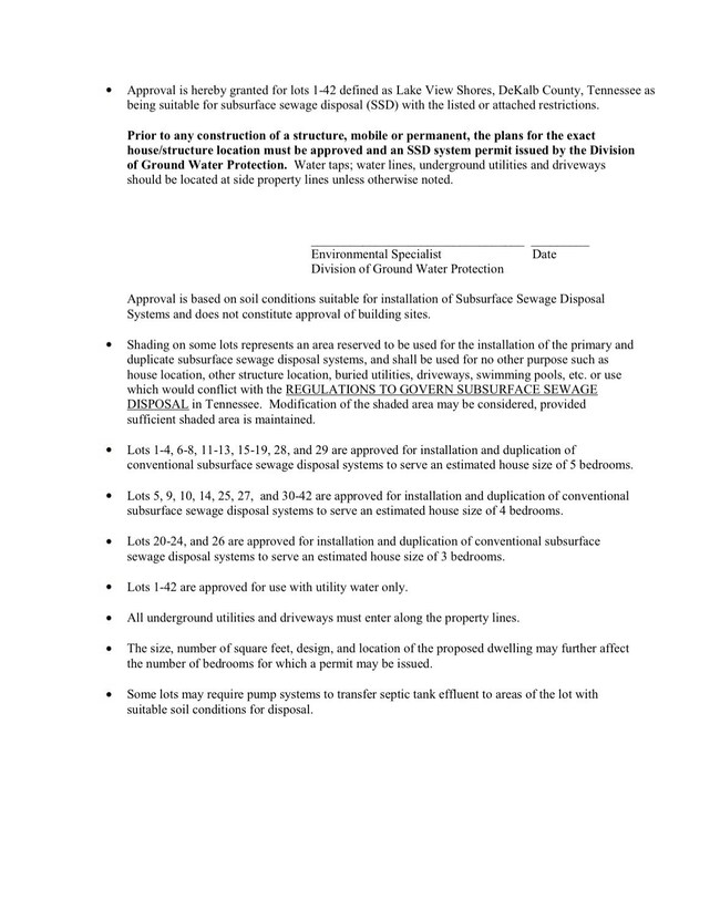
Welcome to Lot 37 in Lake View Shores, offering the rare combination of acreage, privacy, and convenience. This 4.41-acre property is already cleared at the front, making it easy to envision your future build. Utilities are ready to go with a water tap in place, and the property comes with a 4-bedroom subsurface sewage disposal (SSD) approval from the Division of Ground Water Protection, pending soil site testing. See documents in gallery for full details.

Located just minutes from the lake, this property provides the ideal backdrop for your private custom home, retreat, or investment build. With mature trees for natural beauty and privacy, yet cleared space for construction, you truly get the best of both worlds.

? Property Highlights:

4.41 acres (Lot 37 – Lake View Shores)

Partially cleared front acreage

Water tap installed

Soil site approved for 4-bedroom home (SSD permit)

Close proximity to Center Hill Lake

Room for your dream custom build or recreational escape

Motivated seller!

Whether you’ve been dreaming of a private estate, vacation home near the lake, or a long-term investment, this tract offers endless potential. Don’t miss out—opportunities like this don’t come around often!

Best way to find this is to use the neighbors address. 702 Lanis Rd. Baxter, TN, the land is connected right past and goes to the gate.

Last Agent to Sell the Property

Tabby Coldwell

Coldwell Banker Southern Realty Brokerage Phone: 6157964212 License # 314703 Listed on: 08/19/2025

Coldwell Banker Southern Realty

Last Buyer's Agent

Alease Madewell

RE/MAX ONE, LLC License #274522

RE/MAX ONE, LLC

Property Details

Property Type

  • Land

Est. Annual Taxes

  • $166

Lot Details

  • 4.41 Acre Lot
  • Property fronts a county road
  • Lot Has A Rolling Slope

Schools

  • Northside Elementary School
  • Dekalb Middle School
  • De Kalb County High School

Community Details

  • No Home Owners Association
  • Lake View Shores Subdivision

Property Details

Property Type

Land

Est. Annual Taxes

$166

Lot Details

4.41 Acres

Listing Details

  • Prop. Type: Land
  • Inclusions: Land Only
  • Special Features: None
  • Property Sub Type: LotsLands

Exterior Features

  • Pool Private: No
  • Road Frontage Type: County Road
  • Road Surface Type: Gravel
  • Topography: Rolling Slope
  • View: No
  • Waterfront: No

Utilities

  • Cooling Y N: No
  • Heating Yn: No

Condo/Co-op/Association

  • Association: No
  • Senior Community: No

Lot Info

  • Zoning: Residentia
  • Current Use: Unimproved
  • Lot Features: Rolling Slope
  • Lot Size Acres: 4.41
  • Lot Size Units: Acres
  • Property Attached Yn: No

Tax Info

  • Tax Annual Amount: 166

MLS Schools

  • Elementary School: Northside Elementary
  • High School: De Kalb County High School
  • Middle Or Junior School: DeKalb Middle School
Create a Home Valuation Report for This Property
The Home Valuation Report is an in-depth analysis detailing your home's value as well as a comparison with similar homes in the area

Property History

Date Event Price List to Sale Price per Sq Ft
09/29/2025 09/29/25 Sold $35,000 0.0% --
08/19/2025 08/19/25 For Sale $35,000 -- --
Source: Realtracs

Agents Affiliated with this Home

  • Section Image
  • Section Image
See All Agents

Map

Source: Realtracs

MLS Number: 2976513

Realtracs
Your Personal Tour Guide

Ask me questions while you tour the home.